Brussels: a bittersweet story

C&I Issue 24, 2010

Brussels sprouts season is in full swing. Love them or hate them, around 40% of the sprouts produced for the UK market are consumed in the weeks up to and including Christmas day. But the varieties on the table today are very different from those that we would have been eating in the past, according to Peter van der Toorn, head of R&D in the leafy vegetables section at agrochemicals major Syngenta.

‘We don’t have real bitter tasting sprouts anymore,’ Van der Toorn says. ‘Our product range has moved to a series of “classic” tasting varieties and another series of super mild tasting varieties. But even the classic tasting sprouts are not as bitter as they were.’

Syngenta claims to be the leading company for creating new Brussels sprouts varieties, with a market share of roughly 80%. The company currently produces 24 commercial varieties – needed to ensure year-round availability, Van der Toorn says. ‘From 2012 onwards, Syngenta will have a complete assortment of super mild tasting hybrids available to guarantee product supply to consumers during the whole growing season.’

And the company is also now evaluating new red-coloured sprouts varieties, such as those on offer this Christmas at UK supermarket giant Asda. These red Brussels are currently being grown by Cambridgeshire farmer John Lankfer, who is reportedly supplying selected stores with 100 t of the brassica over the festive season. As well as their aesthetic appeal, the red sprouts are also claimed to have a milder, sweeter flavour, which it is hoped will make them more attractive to children.

‘Sprouts are as traditional as Father Christmas and we sell millions of them ever year,’ says Asda’s produce buying manager Anne Spencer. ‘Whether you love them or hate them they are one of the healthiest vegetables around.’

Syngenta began a breeding programme to develop milder tasting Brussels varieties in the early 1990s. While many older people prefer the classical bitter tastes, Van der Toorn notes that younger people tend to prefer the milder tasting varieties that have now become the industry standard.

The bitter taste of Brussels sprouts comes from compounds called glucosinolates and their degradation products, he explains. These bitter tasting compounds are an important part of the plant’s defence mechanism against leaf-eating enemies, such as insects, nematodes, slugs, and herbivores, like pigeons and deer. They are also responsible for many of the health-giving properties of Brussels and other brassicas, particularly their antioxidant and anti-cancer properties.

brussel fieldsWhile glucosinolates are not themselves bioactive, their degradation products – isothiocyanates – are potent and act on all three phases of carcinogenesis: tumour initiation, promotion and progression (Phytochem. Rev., 2009, 8, 269). An isothiocyanate derived from brassicas called sulforaphane, for example, is known to reduce the proliferation of prostate and skin cancers.

Usefully, while ‘some of the compounds that contribute to the bitter taste may also be associated with health benefits, it would be possible to remove these or change their chemical structure by conventional breeding and selection to reduce bitter flavours but maintain health benefits,’ according to Richard Mithen, programme leader of plant natural products and health at the UK’s Institute of Food Research.

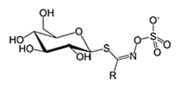
Glucosinolates are secondary metabolites of almost all brassicas. More than 150 of them are described in the literature and about 10% of these are present in Syngenta brassica breeds, says Van der Toorn. Derived from glucose and an amino acid, all of this class of compounds contain nitrogen and sulphur. However, they each have different R groups and it is this variation that is responsible for the different biological properties and tastes of brassicas (See figure opposite).

Some of the glucosinolates present in Brussels, for example, include glucoraphanin, glucobrassicin, sinigrin and progoitrin. Sinigrin and progoitrin relate to the bitter taste on eating Brussels sprouts. However, the story is complicated as a mixture of glucosolinates and other compounds are involved in the bitterness and flavour of Brussels, and this taste experience varies from person to person.

‘There are genetic differences between individuals that make us more or less sensitive to these bitter flavours,’ Mithen explains. ‘These genetic differences affect the expression of taste receptors that make the individual more or less sensitive to some of the compounds in Brussels.’

Curiously, some other genetic differences may have an affect on the health benefits from eating brassicas. Studies in the US, for example, have shown that individuals with certain subtle genetic differences or polymorphisms gain greater cancer protection from broccoli or cruciferous vegetables – although all those who ate them obtained some benefits (Phytochem. Rev., 2009, 8, 269).

‘Broccoli differs from Brussels as it contains a specific glucosinolate that does not occur frequently in Brussels. I would expect similar results for Brussels, but there is much less evidence than broccoli,’ Mithen says, referring to their general anticancer and anti-inflammatory properties.

Mithen and colleagues at the John Innes Centre, and more recently at the Institute of Food Research, both in Norwich, have developed a new ‘healthier’ broccoli variety with technology management company Plant Bioscience (PBL). ‘A serving of improved nutrition broccoli naturally contains two to three times the phytonutrient glucoraphanin as a serving of conventional broccoli varieties grown under similar environmental conditions,’ according to PBL ceo Jan Chojecki. The new broccoli variety was made by crossing modern broccoli varieties with a Sicilian broccoli relative to select improved nutrition traits not available in today’s cultivated broccoli plants, he explains (C&I 2010, 15, 8).

It will be commercially available in the US next year and within two or three years – ‘possibly sooner’ – in the EU, Chojecki says.

Advanced breeding technologies are also behind the development of many of the newer Brussels sprouts varieties. ‘By analysing the different types and quantities of glucosinolates in Brussels sprouts, and correlating these with results from taste panels, we have been able to select the preferred breeding lines,’ Van der Toorn says. The aim is to balance the glucosinolates so as to obtain maximum taste and health with improved productivity.

Syngenta scientists first discovered the relationship between glucosinolates and bitter taste in the early 1990s, Van der Toorn says: ‘The lower the level of some glucosinolates the less bitter the taste of the Brussels, which is perceived as milder or sweeter.’ Fortunately, ‘the ones that are causing the bitter taste in Brussels sprouts are not the ones that have health benefits,’ he adds. The first of its sweeter tasting varieties, called Maximus, was introduced onto the marketplace in 1994, while another popular variety this Christmas is Helemus.

‘Before 1994 we had bitter tasting sprouts like Lauris, Stephen and Ajax. Helemus [has been] on the market for years and is one of the best in terms of appearance – smooth and uniform and green – and taste for Xmas time in England.’ Meanwhile, the new sprout varieties available in 2012 will be even milder tasting, Van der Toorn promises.

glucosinolateDeveloping new sprouts takes six to eight years. Along with their taste, Syngenta researchers have also been busy introducing new traits to improve pest resistance and increase shelf life. In 2009, the company won a Sival d’Or award for new varieties of broccoli and Brussels resistant to clubroot – one of the most common and serious fungal diseases affecting all brassica crops and for which there is no chemical treatment. Fungal spores that cause the disease are known to exist in soil for more than 15 years.

The company is also collaborating with researchers at the University of Warwick, who last month reported that they have identified the main gene that makes plants resistant to the Turnip mosaic virus, responsible for heavy yield losses in UK brassica crops, including up to 37% losses of Brussels and 35% losses of cabbages, according to lead researcher John Walsh at Warwick. A TMV resistant Chinese cabbage made by conventional breeding techniques is expected to be available within five years, while resistant Brussels varieties will be longer in the pipeline.

sulforaphaneLonger-lasting Brussels varieties are also under development in the laboratory, says van der Toorn. ‘We even had examples of buttons being picked in South Africa and kept in good condition for weeks being packed and put on display in the UK.’

That should be good news too for sellers as well as growers of Brussels sprouts, who have apparently being seeing greater demand for the vegetable yearround. According to reports in the Evening Standard newspaper, UK supermarket chain Waitrose has decided to continue stocking Brussels throughout the year after seeing booming sales of baby sprouts over the summer. According to the ES, ‘The retailer now sells more single servings of sprouts than other green vegetables, including tender-stem broccoli and fine beans. It believes sweeter varieties are winning over customers.’

Health benefits of Brussels sprouts

Brussels sprouts are low in fat, low in sodium, high in dietary fibre and free from cholesterol. They are high in vitamin C – an Asda supermarket press release reports that they contain four times more of this important vitamin than an orange, so helping to ‘fend off cold and flu bouts’. They are also a good source of folic acid, needed particularly in pregnancy and vitamin A, which is important for vision.

The cancer-fighting capabilities of Brussels and other brassicas have been known for some years. In 2004, for example, Institute of Food Research scientists reported that chewing, chopping or cooking some brassica vegetables produces a chemical that ‘sabotages’ the uncontrolled cell division of cancer cells. The chemical AITC –a breakdown product of sinigrin found in brassicas including mustard, cabbage, horseradish, cauliflour, sprouts, swede, kale and wasabi – disrupts the process of cell division by a mechanism similar to that of some anticancer drugs, they found.

A review paper on Glucosinolates, isothiocyanates and human health in 2009 noted that isothiocyanates (ITCs) appear to act on all three phases of carcinogenesis: tumour initiation, promotion and progression, and by suppressing angiogenesis and metastasis (Phytochem. Rev., 2009, 8, 269). The most well studied ITC is sulforaphane from broccoli, while animal studies indicate that ITCs may also be effective against breast, stomach, intestine and lung cancers.

In addition, brassicas also contain indole-3-carbinol, which boosts DNA repair in cells and may prevent the growth of cancer cells. And if all of that is not enough, there is also some evidence that Brussels and other cruciferous vegetables may reduce cholesterol levels and reduce the risk of heart disease. Mild cooking enhances breakdown of glucosolinates to ITCs, while lightly steaming vegetables is recommended to avoid losses by leaching.

Become an SCI Member to receive benefits and discounts

Join SCI