Horticulture Newsletter - July 2010

1 July 2010

During our visit to the Millennium Seedbank in May the topic of how to germinate 'difficult' seeds was discussed. Amongst these are seeds that recolonise after fire. Richard Todd of the Fine Chemicals Group, who was part of the group, undertook to investigate the topic further and describes in his article below the chemistry behind this phenomenon and how it could lead to better germination in a much wider range of species.
Editor

Society of Biology

The SCI Horticulture Group has joined the Society of Biology as an Organisational Member. We join just under sixty learned societies and organisations across the whole spectrum of the biosciences. The Society of Biology provides a collective voice to government and other bodies on matters that influence us all. From time to time they will seek our views on such issues and we in turn will seek members views in order to provide a 'Group' response.

The Society runs a CPD scheme which allows its individual members to advance their careers, gain accreditation and the status of Chartered Biologist. Society of Biology.

Oxford and Cambridge Botanic Gardens

In June two visits were made to major botanic gardens by SCI Groups

  • On 10 June 2010 the Cambridge and Great Eastern Group visited the University of Cambridge Botanic Garden. More
  • Then on 11 June 2010 the Horticulture Group visited the Oxford University Botanic Garden. More

‘Butenolides’ as seed germination stimulants

wild firePlants living in regions prone to wildfire (Photo: Paulo Fernandes) such as the Mediterranean Maquis, the Eucalyptus scrub of Australia and even Scottish grouse moors are known to require the heat of fire to stimulate seed germination. However, in the mid-1990s it was discovered that plant smoke, or an aqueous extract of such smoke, also acted as a germination stimulant for a range of species. The isolation and characterisation of the active component responsible for this phenomenon was the subject of great interest, and in 2004 Gavin Flematti of the University of Western Australia and his colleagues published a paper describing its isolation, and identified the compound as 3-methyl-2H-furo[2,3-c]pyran-2-one, commonly referred to as butenolide.(ref 1)

Flematti later confirmed the structure of butenolide by performing a laboratory synthesis of the proposed butenolide structure (ref 2). A comparison of the analytical data of the compound isolated from smoke with the data from the compound synthesised in the laboratory showed them to be identical.

Following the publication of the structure of butenolide, a number of research groups developed a variety of chemical routes for its laboratory synthesis. By identifying a flexible chemical process that could produce butenolide, chemists were able to synthesise closely related chemical analogues by adapting both the chemical process and the starting materials used. Other new analogue molecules were also generated by using butenolide (or a close analogue) as a starting material, and utilising new chemistry processes. Such analogues could be valuable tools to determine which structural attributes are necessary for the seed germination activity.

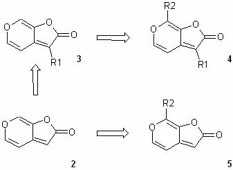
butenolideAn example of this approach is shown in Figure 1, where analogues of butenolide (general structures 3, 4 and 5) were synthesised, starting from the closely related molecule 2 (ref 3). The labels R1 and R2 indicate where a variety of different chemical groups were incorporated on to template 2. The chemistry employed allowed the separate incorporation of either an R1 or R2 group, or both. It was reported that several of these new analogues possessed germination activity equal to the original butenolide.

butenolideIn order to rapidly and efficiently screen the smoke derived fractions from the early identification studies, and later to test the activity of the synthetic analogues, a rapid bio-assay was developed, using seeds of the lettuce variety, Grand Rapids. The key benefit of this assay is the very short germination time (approximately 24h) of lettuce, in contrast with the previously used Syncarpha vestita (Cape Snow - Photo: Andrew Massyn) seeds, which requires over 20 days to germinate.

Experiments have shown that the activity of butenolide and its analogues is not restricted to species from fire prone habitats and they are equally effective on a wider range of species (ref 4). An appealing future possibility is the development of synthetic butenolide, or a related chemical analogue, that could be used extensively in horticulture and agriculture to hasten the speed and possibly the vigour and uniformity of germination or to stimulate the rapid re-vegetation of degraded landscapes.

Syncarpha_vestitaSeveral attributes of butenolide support this possibility: its small and simple chemical structure makes it easy and thus cheap to manufacture; its high potency (active at concentrations down to 10-9 M) means relatively small quantities would be required making it cheap to purchase and easy to apply. However, several knowledge gaps remain, including understanding the toxicity, persistence and chemical stability of butenolide in soil, and its wider effects on the rhizosphere. Once these unanswered questions are addressed, butenolide could be recognised as a valuable new addition to the growers’ tool-kit.

References:
1. Flematti, G. R. et al, Science 2004, 305, 977
2. Flematti, G. R. et al, Tetrahedron Lett. 2005, 46, 5719-5721
3. Xu, M. et al, Tetrahedron Lett. 2008, 49, 2922-2925
4. Daws, M.I. et al, Plant Growth Regulation 2007, 51, 73-82

General reading:
Staden, J. van et al, South African J. Bot 2009, 75, 1-7

Richard Todd
SCI Fine Chemicals Group and CMOpharma Limited

Plant of the Month

lilyThe Amazonian Water Lily - Victoria cruziana, Nymphaceae

The giant Amazonian water lily Victoria amazonica, has a slightly hardier sister species, Victoria cruziana. These plants were originally discovered in the early 19th century by Robert Schomburg but once news of them reached horticulturalists in the U.K the race was on to achieve the first flowering in this country. This was not such an easy task. A large tropical water tank at 24-26°C of sufficient dimensions to accommodate a plant whose leaves can grow up to 3m in diameter that is well lit is quite a challenge to build. The Duke of Devonshire at Chatsworth won the race, due to the talents of his head gardener Joseph Paxton, when the first flowers opened in 1849. Professor Daubeny, botanist, chemist, rural economist and Keeper of the Botanic Garden in Oxford, was invited to view the Victoria at Chatsworth and decided that Oxford should grow one too. A pool and glasshouse were constructed and the Victoria first flowered in Oxford in 1851. The same tank still grows this plant today.

Victoria cruziana is grown from seed each year and July should see the spectacular flowers start to bloom. The flowers open white on the first evening (see picture), emitting a scent to attract their natural pollinator. The beetles enter the flower and feast on the starch rich staminodes and the flower closes imprisoning them in for the next day. During the next day the flower gradually turns from white to a deep pink colour (see picture) and opens again in the evening, releasing the beetle, now covered in pollen, ready to find another white flower and deposit its load of pollen. Once the flower is pollinated it sinks beneath the water.

It has often been said that the leaves are large enough to support a small child and indeed they are if their weight is evenly distributed over the surface of the fragile (yet strong) leaves. Several members of Botanic Garden staff in Oxford have tried this out with their young children!

Alison Foster
SCI Horticulture Group and Oxford Botanic Garden

Medicinal Plant of the Month

The Castor Oil Plant - Ricinus communis, Euphorbiaceae

castor oil plantMedicinal may not be the first adjective you would choose to use to describe the castor oil plant – toxic may certainly spring to mind a deal sooner. Ricin, a protein extracted from the seeds of the castor oil plant (Photo: Forest and Kim Starr), is a well known toxin and has been used in a number of terrorist acts and also to murder the Bulgarian dissident Georgi Markov in 1978. Ricin is currently being investigated for potential use in anti-cancer therapies. However the castor oil plant has other claims to fame in the medicinal plant world!

Castor oil is an important solvent for many drug formulations but there is one drug that would never have made it through clinical trials testing and then to widespread use if it were not for the castor oil plant. The anti-cancer drug paclitaxel (also known as Taxol) is an insoluble substance but in order to get it into patients, it must be formulated as a solution. Many solvents were tried and none worked and so the development of the drug was held up. Eventually a solvent called Cremophor EL was found to dissolve paclitaxel. Cremophor is a polyethoxylated castor oil substance. The clinical trials could then go ahead. Taxol is now used to treat patients with lung, breast and ovarian cancer. The downside to the use of cremophor is that it is fairly toxic in its own right and patients often are premedicated to alleviate potential adverse reactions to this solvent. However, many thousands of patients would not have received the life-saving treatment without it.

Today there are other formulations of paclitaxel available as well as Taxol. Abraxane is a formulation of paclitaxel using nanoparticle albumin.

Alison Foster
SCI Horticulture Group and Oxford Botanic Garden

Horticulture Industry News

More News can be found on the SCI Horticulture Facebook Group

Don’t forget our native species
Plants native to the British Isles from wild raspberries and elderflowers to seaweed could prove just as exciting to food developers as the exotic flora and fauna of South America and Africa, according to experts at Kew Gardens. More

Climate brief
Climate change has been written about at many levels, from popular articles in newspapers, to specialized research papers in the scientific literature. David Jenkinson of Rothamsted Research has prepared an excellent technical overview, meant for anyone who has to deal with the issues involved. He covers all aspects of climate change across the whole spread of the sciences, from the physics of the Sun to the biology of oceanic plankton.

salicorniaASDA trials samphire
Samphire (Salicornia) or glasswort is a familiar plant to anyone who wanders the tidal mud-flats of river estuaries. A Kent grower is now producing it for ASDA to trial in selected stores. As the editors’ store is one that has been selected, we can confirm that it looks good on the plate and tastes good. As one would expect it is salty, so take care what you eat with it, but definitely good for a dinner party.

Former Travel MD for RHS
Sue Biggs, former managing director of Kuoni and Thomas Cook has been appointed as Director General of the RHS. She will take up the post in August, succeeding Gordon Seabright who has been acting Director General since September 2009. More

Pollen-fruit syndrome
Hayfever patients can suffer a form of food allergy. Pollen-fruit syndrome, also called oral allergy syndrome, is caused by sensitivity to certain raw fruits and vegetables including apple, carrot, celery, melon and cherry. The condition is usually associated with allergy to pollens (particularly birch pollen) and symptoms include redness, swelling and itching of the lips and inside the mouth. There may be symptoms in the throat.

Several allergenic proteins have been identified in fresh tomato. Lipid transfer proteins are those that seem to cause the most serious problems. Allergy to kiwi fruit is also becoming more common.

Plants date the pharoahs
Scientists at Oxford University have established clear dates for the ruling dynasties of ancient Egypt after carbon dating plant remains. They tested seeds, baskets, textiles, plant stems and fruit obtained from museums in the United States and Europe for the landmark study. The new data showed the reign of Djoser, the best-known pharaoh in the Old Kingdom, was between BC 2691 and 2625, some 50 to 100 years earlier than established wisdom has it.

Arion_lusitanicusSlug control for amenity areas
Certis have launched a new slug pellet for the ornamental and amenity sectors. Ferramol Max contains the same active ingredient as Ferramol, ferric phosphate, but at the higher concentration of 3% instead 1%. It is more cost effective as it can be applied at a lower dose rate and still provide effective control of slugs. Like the original Ferramol, it has very low impact on all non-target organisms and eventually degrades into naturally occurring nutrients. (Cropsafe News, summer 2010) (Photo: Håkan Svensson)

No need to spray whole tree
The horse chestnut tree (Aesculus hippocastanum) is under threat from an exotic pest – the horse chestnut leaf miner (Cameraria ohridella). The pest has become widespread with infected leaves appearing brown, shriveled, dry and curling. Evidence now indicates that the moth is also damaging to the tree’s energy budget. The insecticide Dimilin Flo (diflubenzuron) can be used against the larval stage as it interferes with the development of their exoskeleton. At the same time it does not damage beneficial insects. Spraying the canopy is difficult but just spraying the trunk and under the canopy has a huge impact as does raking up leaves and weeds below to reduce overwintering populations. (Cropsafe News, Summer 2010) See also: Our conker trees are under attack by 'alien' invaders! They want your help this month.

Selling and recycling polythene
British Polythene Industries (BPI) will be at Fruit Focus to demonstrate their ability to help growers operate in a more eco-sensitive way by keeping reusable polythene in circulation and out of landfill. BPI Visqueen is well known manufacturer of greenhouse films, polytunnels and crop covers. Its less well know sister company, BPI Recycled, is Europe’s largest recycler of waste polythene.

Challenge for horticultural science
Chief Scientist at Agriculture and Horticulture Development Board (AHDB), Professor Ian Crute, will examine future challenges for science and research with the aim of helping secure the future of the British fruit industry. (Fruit Produce Journal, 4 June 2010)

Rapid test for shelf life
Mylnefield Research Services Ltd have filed a patent on a new technique for extending the shelf life of minimally processed fresh fruit and vegetables. Immersing cut produce in warm water is an effective method of extending shelf life but it relies on time-consuming, empirical studies for deciding the optimum immersion time and temperature - impractical for a fast moving, constantly changing processing line. The new technique uses a biomarker based system to rapidly determine the optimum heat treatment for a given batch of produce. In tests, this method has been shown to give results within 24 hours, turning warm water immersion into a commercially feasible method of extending shelf life. They are now looking for fruit or vegetable processors interested in helping to develop the technology further.

Environment schemes under threat?
A coalition of conservation and countryside groups have attacked what they claim are UK government plans to cut funding for agri-environment schemes. Because of the way agri-environment schemes are funded from both the UK government and the European Common Agricultural Policy (CAP), a cut in domestic funding would result in further money being lost to Brussels, the letter says. For every £4 spent by the UK Government on agri-environment schemes, an additional £6 is allocated from the CAP. If support for agri-environment is withdrawn by the Government, much of this additional funding will be returned to Europe and entirely lost to the UK economy, it adds.

Is British farming waking up to a new dawn?
This is the question being asked by Peter Kendall in two Daily Telegraph articles on the policies of new Defra Minister, Caroline Spelman. You only have to go back ten years to a time when farming in this country was seen, at best, as a rather embarrassing inconvenience. The prevailing attitude was that we would be able to import more food, if needed. Contrast this with Caroline Spelman's first statement that she looked forward to increasing production from British agriculture. Food security has become an issue and, in delivering, agriculture has a strategic importance. More and More

Sue Grimbly
SCI Horticulture Group

Quotes of the Month

'Sunshine is delicious, rain is refreshing, wind braces us up, snow is exhilarating; there is really no such thing as bad weather, only different kinds of good weather.' John Ruskin

Events Calendar

SCI Events

Other Events of Interest

International Symposium on Improving the Performance of Supply Chains in the Transitional Economies
4 Jul 2010 - 8 Jul 2010, International Society for Horticultural Science
Kuala Lumpur, Malaysia

International Trials Conference: Assessment of Ornamental Plants
6 Jul 2010 - 8 Jul 2010, International Society for Horticultural Science
Guildford, UK

Ohio Short Course
10 Jul 2010 -13 Jul 2010, Ohio Growers Association
Columbus, USA

Global Business of Biodiversity
13 Jul 2010
Excel, London, UK

Woking Nursery Exhibition
14 Jul 2010, Woking Nurseries
Merrist Wood College, Worplesdon, Surrey, UK

Fruit Focus
21 Jul 2010, Haymarket
East Malling, UK

Agriculture Outlook Europe
23 Jun 2010 - 25 Jun 2010, Food Chain
Mayfair, London, UK

International Symposium on Tomato Diseases
25 Jul 2010 - 30 Jul 2010, International Society for Horticultural Science
Ischia, Naples, Italy

Commonwealth Forestry Conference
28 Jun 2010- 2 July 2010
Edinburgh, UK

Integrated Pest Management
29 Jul 2010, Professional Horticulture Group South West
Cantello Nurseries, UK

Sexual Plant Reproduction
2 Aug 2010 - 6 Aug 2010, Society for Experimental Biology
The Victoria Rooms, University of Bristol, Bristol UK

Eastgro
4 Aug 2010
Pettistree, Suffolk, UK

International Workshop on Fire Blight
16 Aug 2010 - 20 Aug 2010, International Society for Horticultural Science
Warsaw, Poland

International Horticultural Congress
22 Aug 2010 - 27 Aug 2010, International Society for Horticultural Science
Lisbon, Portugal

Plantarium
25 Aug 2010 - 28 Aug 2010
Boskoop, the Netherlands

International Symposium on the Genus Lilium
30 Aug 2010 - 3 Sep 2010, International Society for Horticultural Science
Pescia, Tuscany, Italy

International Advances in Plant Virology
5 Sep 2010 - 7 Sep 2010, Association of Applied Biologists
Arnhem, the Netherlands

Four Oaks Trade Show
7 Sep 2010 - 8 Sep 2010
Lower Withington, Cheshire, UK

Delivering Food Security with Supply Chain Led Innovations
7 Sep 2010 - 9 Sep, Association of Applied Biologists
Egham, Surrey

Saltex
7 Sep 2010 - 9 Sep 2010, Institute Of Groundsmanship
Windsor, UK

Abbotsbury Tropical Gardens and Michaud's Chilli, Sweet Pepper etc.
8 Sep 2010, Professional Horticulture Group South West
West Bexington, Dorset, UK

Food Security and Safety Symposium
13 Sep 2010 - 15 Sep 2010, Society for Experimental Biology
Lancaster University, UK

Green Roofs For A Changing Climate
15 Sep 2010 - 16 Sep 2010, London, UK

GLEE
20 Sep 2010 - 22 Sep 2010
NEC Birmingham, UK

Peat in Horticulture
11 Oct 2010, International Society for Horticultural Science
Amsterdam, The Netherlands

International Conference on Organic Greenhouse Horticulture
11Oct 2010 -14 Oct 2010, International Society for Horticultural Science
Bleiswijk, The Netherlands

HortiFair
12 Oct 2010 -15 Oct 2010
RAI, Amsterdam, the Netherlands

World Emulsions Congress
12 Oct 2010 - 14 Oct 2010,
Lyon, France

Workshop on Biological Control of Postharvest Diseases
25 Oct 2010 - 28 Oct 2010, International Society for Horticultural Science
Leesburg, Virginia, USA

Predicting and Controlling the Shelf-Life of Foods
3 Nov 2010 - 4 Nov 2010, Food Chain CIC
Leatherhead, Surrey, UK

Tropical Horticulture
22 Nov 2010 - 26 Nov 2010, International Society for Horticultural Science
Kingston, Jamaica

Water and nitrogen use efficiency in plants and crops
15 Dec 2010 -16 Dec 2010, Association of Applied Biologists
Grantham, UK

If you would like to advertise a forthcoming event please contact communications@soci.org.

Horticulture Group Contact Details

For submitting ideas or to volunteer to be part of a committee or a group, please contact:

Acting Chairman - Peter Grimbly
Meetings Secretary - Marion Stainton
Minutes Secretary - Margaret Waddy
Newsletter co-ordinator - Sue Grimbly scihortigroup@btinternet.com
SCI contact - communications@soci.org T: +44(0)20 7598 1500

Related Links

Show me news from
All themes
from
All categories
by
All years
search by

Read the latest news